COUNCIL SPONSOR BRISTER/PRESIDENT PROVIDED BY: PLANNING
INTRODUCED BY , SECONDED BY , ON THE
DAY OF , 2004
AN ORDINANCE TO ADOPT A VOLUNTARY DEVELOPMENTAL AGREEMENT BETWEEN
THE PARISH OF ST. TAMMANY AND CLM DEVELOPMENT, L.L.C., THE DEVELOPER OF
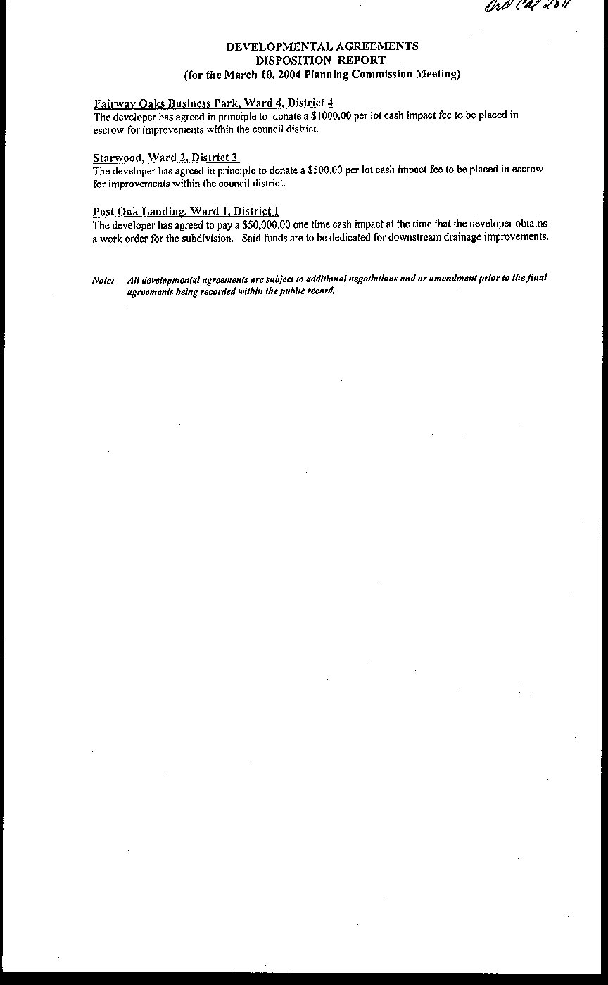
POST OAK LANDING SUBDIVISION, LOCATED IN WARD 1, DISTRICT 1
WHEREAS, CLM Development, L.L.C., developer of Post Oak Landing Subdivision, has agreed in
principle to enter into a voluntary developmental agreement with the Parish of St. Tammany; and
WHEREAS, the St. Tammany Parish Planning Commission and Council have held public hearings
concerning said agreement and do hereby concur and conclude that said agreement is mutually acceptable, binding
on all parties and shall derive benefits for the development and to the Parish.
THE PARISH OF ST. TAMMANY HEREBY ORDAINS: that it hereby accepts and enters into said
voluntary developmental agreement with the developer of Post Oak Landing Subdivision, as well as any other
boards, commissions, organizations or districts duly created or endorsed by the Parish Council that may be a party
hereto.
BE IT FURTHER ORDAINED, that this agreement shall be recorded within the records of the St.
Tammany Parish Clerk of Courts Office, if applicable, and this ordinance shall serve as an attachment.
REPEAL: All Ordinances or parts of Ordinances in conflict herewith are hereby appealed.
SEVERABILITY: If any provision of this Ordinance is held to be invalid, such invalidity shall not affect other
parts or provisions which can be given effect without the invalid provision and to this end the provisions of this
Ordinance are hereby declared to be severable.
EFFECTIVE DATE: This Ordinance shall become effective fifteen (15) days after adoption.
MOVED FOR ADOPTION BY , SECONDED BY ,
WHEREUPON THIS ORDINANCE WAS SUBMITTED TO A VOTE AND RESULTED IN THE FOLLOWING:
YEAS:
NAYS:
ABSTAIN:
ABSENT:
AND THIS ORDINANCE WAS DECLARED DULY ADOPTED AT A REGULAR MEETING OF THE PARISH
COUNCIL ON THE DAY OF , 2004; AND BECOMES COUNCIL ORDINANCE
SERIES NO. .
PATRICIA BRISTER, COUNCIL CHAIRMAN
ATTEST:
DIANE HUESCHEN, COUNCIL CLERK
KEVIN C. DAVIS, PARISH PRESIDENT
Published introduction , 2004
Published adoption , 2004
Delivered to the Parish President on , 2004 @
Returned to the Council Clerk on , 2004 @
