RESOLUTION
COUNCIL SPONSOR: BRISTER/PRESIDENT PROVIDED BY: PLANNING
RESOLUTION TO CONCUR/ NOT CONCUR WITH THE
CITY OF COVINGTON ANNEXATION AND REZONING OF
1.15 ACRES OF LAND MORE OR LESS FROM PARISH C-2
HIGHWAY COMMERCIAL DISTRICT TO CITY OF
COVINGTON C-3 HIGHWAY BUSINESS DISTRICT
DISTRICT WHICH PROPERTY IS LOCATED ON THE EAST
SIDE OF US HWY 190 BUSINESS SOUTH OF SPEEDEE OIL
CHANGE IN S42, T7S, R11E, WARD 3, DISTRICT 3.
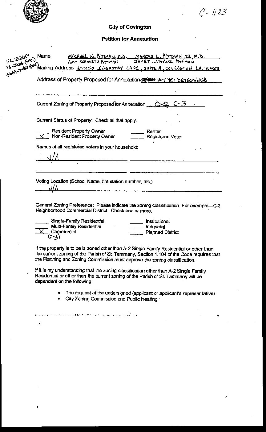
WHEREAS, the City of Covington is contemplating Annexation of 1.15 acres of land more or less
owned by Marcus L. Pittman, Jr,Michael N. Pittman,MD, Et al, located on the east side of US Hwy 190
Business south of Speedee Oil Change, part of S42, T7S, R11E, Ward 3, District 3 (see attachments for
complete description), and
WHEREAS, the property requires rezoning from Parish C-2 Highway Commercial District to City of
Covington C-3 Highway Business District which is not an intensification of zoning, and
WHEREAS, the property is developed and the proposed annexation would/would not result in a split
of the sales tax revenues as per the Sales Tax Enhancement Plan, Resolution P. J. S. No. 88-3636 As Amended
and Adopted by the Police Jury on July 21, 1988 providing for the annexation of property in Sales Tax District
# 3.
THE PARISH OF ST. TAMMANY HEREBY RESOLVES that it does/does not concur with the City
of Covington to annex and rezone 1.15 acres of land more or less, located in District 3 from Parish C-2
Highway Commercial District to City of Covington C-3 Highway Business District in accordance with
Resolution P. J. Series No. 88-3636 As Amended.
THIS RESOLUTION HAVING BEEN SUBMITTED TO A VOTE, THE VOTE THEREON WAS AS
FOLLOWS:
MOVED FOR ADOPTION BY , SECONDED BY ________________________
YEAS:
NAYS:
ABSTAIN:
ABSENT:
THIS RESOLUTION WAS DECLARED ADOPTED ON THE DAY OF , 2004,
AT A REGULAR MEETING OF THE PARISH COUNCIL, A QUORUM OF THE MEMBERS BEING
PRESENT AND VOTING.
___________________________________
PATRICIA BRISTER, COUNCIL CHAIRMAN
ATTEST:
______________________________
DIANE HUESCHEN, CLERK OF COUNCIL
(Ref. no. CL2004-01)














