COUNCIL SPONSOR BRISTER/PRESIDENT PROVIDED BY: PLANNING
INTRODUCED BY MR. GOULD , SECONDED BY MR. BINDER , ON THE 1ST DAY OF
APRIL , 2004
AN ORDINANCE TO ADOPT A VOLUNTARY DEVELOPMENTAL AGREEMENT BETWEEN
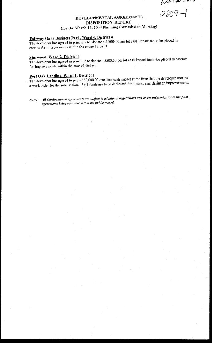
THE PARISH OF ST. TAMMANY AND UNCAS FAVRET, THE DEVELOPER OF FAIRWAY
OAKS BUSINESS PARK SUBDIVISION, LOCATED IN WARD 4, DISTRICT 4
WHEREAS, Uncas Favret, developer of Fairway Oaks Business Park Subdivision, has agreed in principle
to enter into a voluntary developmental agreement with the Parish of St. Tammany; and
WHEREAS, the St. Tammany Parish Planning Commission and Council have held public hearings
concerning said agreement and do hereby concur and conclude that said agreement is mutually acceptable, binding
on all parties and shall derive benefits for the development and to the Parish.
THE PARISH OF ST. TAMMANY HEREBY ORDAINS: that it hereby accepts and enters into said
voluntary developmental agreement with the developer of Fairway Oaks Business Park Subdivision, as well as any
other boards, commissions, organizations or districts duly created or endorsed by the Parish Council that may be a
party hereto.
BE IT FURTHER ORDAINED, that this agreement shall be recorded within the records of the St.
Tammany Parish Clerk of Courts Office, if applicable, and this ordinance shall serve as an attachment.
REPEAL: All Ordinances or parts of Ordinances in conflict herewith are hereby appealed.
SEVERABILITY: If any provision of this Ordinance is held to be invalid, such invalidity shall not affect other
parts or provisions which can be given effect without the invalid provision and to this end the provisions of this
Ordinance are hereby declared to be severable.
EFFECTIVE DATE: This Ordinance shall become effective fifteen (15) days after adoption.
MOVED FOR ADOPTION BY , SECONDED BY ,
WHEREUPON THIS ORDINANCE WAS SUBMITTED TO A VOTE AND RESULTED IN THE FOLLOWING:
YEAS:
NAYS:
ABSTAIN:
ABSENT:
AND THIS ORDINANCE WAS DECLARED DULY ADOPTED AT A REGULAR MEETING OF THE PARISH
COUNCIL ON THE DAY OF , 2004; AND BECOMES COUNCIL ORDINANCE
SERIES NO. .
PATRICIA BRISTER, COUNCIL CHAIRMAN
ATTEST:
DIANE HUESCHEN, COUNCIL CLERK
KEVIN C. DAVIS, PARISH PRESIDENT
Published introduction , 2004
Published adoption , 2004
Delivered to the Parish President on , 2004 @
Returned to the Council Clerk on , 2004 @
